
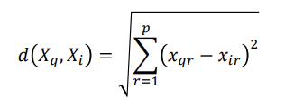
1) 유클리디안 거리(Euclidean distance)
- 가장 대표적인 방법

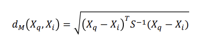
2) 마할라노비스 거리(Mahalanobis distance)
- 데이터의 밀도를 고려한 거리 척도

1) K값 선택
2) 학습 집합 중 K개의 데이터를 거리지표를 사용하여 선택
3) 범주형 출력변수인 경우 아래의 예측값 사용

연속형 출력변수인 경우 아래의 예측값 사용

| IQR Method를 통한 이상치 변환 (0) | 2021.12.16 |
|---|---|
| 나이브 베이즈 분류(Naive Bayesian Classification) (0) | 2021.05.01 |
| Kernel Density Estimate(커널밀도추정) (0) | 2020.12.20 |
| 의사결정나무(Decision tree) (0) | 2020.12.13 |
댓글 영역